Światło dzienne ujrzały wyniki badania, które zdaje się obalać związek pomiędzy korzystaniem z internetu a zdrowiem psychicznym. Okazuje się, że sam fakt wykorzystywania mediów społecznościowych czy aplikacji nie ma większego wpływu na rozwój groźnych chorób. Dowiedziono przy okazji, iż ten cyfrowy świat niekoniecznie przyczynia się do poprawy samopoczucia osób spędzających w nim czas. Mamy więc do czynienia z przestrzenią wręcz neutralną. Czy tak faktycznie jest?
Internet a zdrowie psychiczne – wyniki badań
Internet dorastał w otoczeniu ludzi zachowujących się niczym toksyczni rodzice. Sukcesy przez niego odnoszone były często pomijane, natomiast drobne potknięcia wyolbrzymiano i porównywano do piekielnych otchłani. Idę o zakład, że sporo użytkowników czytających ten artykuł doświadczyło krytyki sieci, która tak naprawdę była niemającą za wiele wspólnego z rzeczywistością hiperbolą. Tego typu głosy wciąż można co pewien czas usłyszeć, lecz na szczęście nie są już aż tak powszechne.
Niejednokrotnie jednak pojawiają się opinie wskazujące, że korzystanie z internetu wpływa negatywnie na zdrowie psychiczne. Ktoś w końcu postanowił ten związek zbadać i wyniki przeprowadzanych analiz rozwiewają przynajmniej część z powstałych na przestrzeni lat wątpliwości. Okazuje się bowiem, iż nie znaleziono związków pomiędzy korzystaniem z internetu a zdrowiem psychicznym – zarówno tych pozytywnych, jak i negatywnych. Teraz zerknijmy na szczegóły.
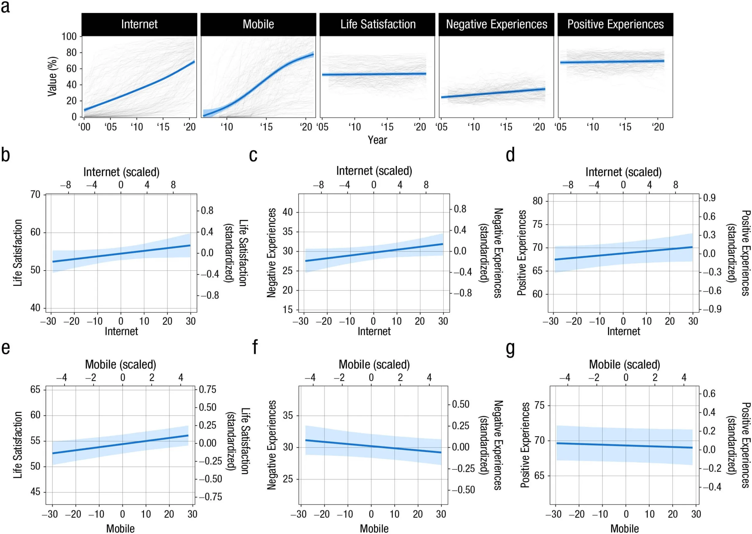
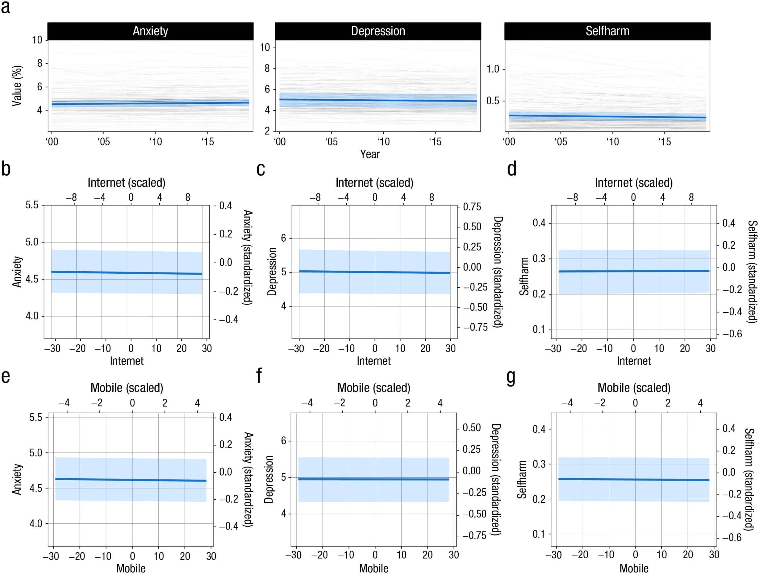
Badanie o nazwie „Global Well-Being and Mental Health in the Internet Age” przeprowadzili Andrew Przybylski (profesor ludzkich zachowań i technologii w Oxford Internet Institute) oraz Matti Vuorre (pracownik naukowy zatrudniony w tym samym instytucie). Głównym celem było przeprowadzenie analizy panującego od dawna przekonania, że internet ma szkodliwy wpływ na zdrowie psychiczne użytkowników. To pierwsze tego typu przedsięwzięcie brane w stu procentach na serio. Wrażenie robi bowiem próba badawcza wynosząca 2,4 mln osób w wieku od 15 do 89 lat pochodzących ze 168 krajów. Dane zbierano w latach 2005-2022, mamy więc do czynienia z poważnym projektem.

Całość podzielono na dwie części. Pierwsza z nich koncentruje się na dobrostanie psychicznym uczestników w oparciu o samoocenę ogólnej satysfakcji z życia. Uwzględniono pozytywne, jak i negatywne doświadczenia na przestrzeni lat. Pozyskane informacje zestawiono z powszechną adaptacją internetu i mobilnych łączy szerokopasmowych w każdym kraju w przeciągu dwóch minionych dekad. Potem natomiast poruszono wątek zdrowia psychicznego poprzez wykorzystanie wskaźników lęku, depresji i samookaleczeń z ostatnich dwudziestu lat oraz powiązań tych elementów z przyjęciem szeroko rozumianych technologii internetowych.
Szkodliwe mity można włożyć między bajki
Wniosek? Okazało się, że przez cały okres badań (2005-2022) doszło do niewielkich i niemających ze sobą większego związku zmian w globalnym dobrobycie i zdrowiu psychicznym uczestników. Wygląda więc na to, iż dowiedziono brak związku pomiędzy tytułowymi zjawiskami.
Naukowcy stwierdzili, iż bezustannie szukali niepodważalnego dowodu, by móc połączyć technologię ze zdrowiem psychicznym. Takich nie znaleziono, zarówno pozytywnych, jak i negatywnych. Popularny pogląd przybliżony na początku artykułu można włożyć więc między bajki i traktować już nie jako mit, ale jako fałsz. Oczywiście badacze nie negują odgrywanej przez internet roli jeśli chodzi o samopoczucie, lecz większy wpływ odgrywać tu mają inne czynniki.

Mechaniki i sztuczki stosowane przez technologiczne koncerny mogą przyczyniać się do pogłębiania uzależnienia u wybranych konsumentów – zwłaszcza w okresie dojrzewania. Udostępniane przez właścicieli platform informacje są jednak bardzo ograniczone, więc ten aspekt należałoby jeszcze dogłębniej przeanalizować. Naukowcy wezwali m.in. firmę Meta do zwiększenia otwartości w zakresie tego typu danych, by móc rozwijać badawcze projekty i dbać o dobrostan ludzi na całym świecie.
Na sam koniec przytoczę fragment abstraktu wyżej opisanego badania:
Udowadniamy, że w ciągu ostatnich dwóch dekad zaobserwowano jedynie niewielkie i niespójne zmiany w globalnym dobrostanie i zdrowiu psychicznym, które nie sugerują, że przyjęcie internetu i mobilnych łączy szerokopasmowych jest konsekwentnie powiązane z negatywnymi skutkami psychologicznymi.
Jeśli chcecie przeczytać obszerne badanie „Global Well-Being and Mental Health in the Internet Age”, to link znajdziecie w źródłach poniżej.
Źródło: Sage Journals, TechSpot / Zdjęcie otwierające: unsplash.com (@elisa_ventur)