Jakiś czas temu przekazywaliśmy Wam dość intrygujące doniesienia na temat układu Qualcomm Snapdragon 8 Gen 5, którego premiera planowana jest dopiero na 2025 rok. W tym roku oczy branży są skupione przede wszystkim na układzie Qualcomm Snapdragon 8 Gen 4 – jego częściową specyfikację ujawnił właśnie najnowszy wyciek w serwisie Baidu. Krótko mówiąc: poznaliśmy kluczowe informacje na jego temat.
Wyciek zdradza specyfikację Qualcomm Snapdragon 8 Gen 4
Do tej pory o nowym układzie produkcji Qualcomm słyszeliśmy głównie za sprawą informacji przewijających się przez bazę benchmarka Geekbench. Tym razem doniesienia pochodzą z chińskiego Baidu. Są… zgodne z dotychczasowymi przewidywaniami.
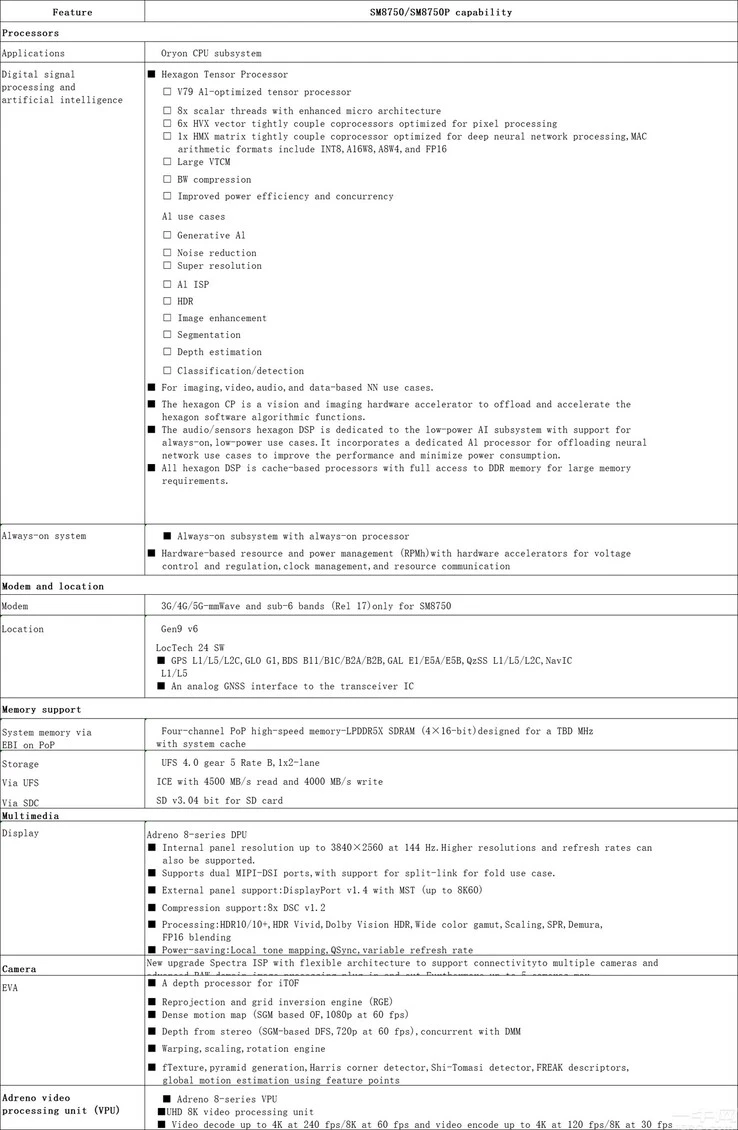
Dowiedzieliśmy się, że Qualcomm Snapdragon 8 Gen 4 ma dwukrotnie większe możliwości w zakresie GenAI od swojego poprzednika. Układ będzie cechował się 8-rdzeniową architekturą Oryon z dwoma rdzeniami performance (wydajniejszymi) oraz sześcioma efficiency. Wbrew wcześniejszym pogłoskom współpracuje z pamięcią LPDRR5X, a nie LPDDR6. Zabrakło szczegółów dotyczących jej przepustowości, ale wiadomo, że działać będzie w trybie 4-kanałowym.

Nowy układ Qualcomma wspiera pamięć UFS 4.0 (Gear 5) o prędkościach odczytu i zapisu danych sięgających odpowiednio 4500 i 4000 MB/s. Układ graficzny Adreno 830 GPU ma wspierać rozdzielczość 3840×2540 pikseli w 144 Hz i być w stanie wyświetlać obraz 8K w 60 klatkach na sekundę na zewnętrznych ekranach. Nie potwierdzono plotek o jego 40 procent wyższej wydajności.
Na ten moment wiemy jeszcze, że Qualcomm Snapdragon 8 Gen 4 będzie droższy od poprzednika. Pierwszym smartfonem z tym układem będzie OnePlus 13. Jego premiera odbędzie się w październiku tego roku, początkowo wyłącznie w Chinach.
Źródło: Baidu